來源:韓研活性炭網 作者:韓研活性炭網 2017-11-17
活性炭納米纖維(CNF)是由電紡聚合物納米纖維,如聚丙烯腈(PAN)通過穩定化,碳化和石墨化過程衍生而來的。由于來自電紡PAN的CNF具有較高的比表面積,較高的負載能力和較高的機械靈活性,因此它們適用于生物醫學,能源應用的過濾器,支架和燃料電池以及固相吸附劑提取(SPE)。用于復合材料應用的碳納米纖維。SPE是萃取和測定低濃度農藥的常用濃縮程序。雖然這個過程是一個強大的技術,但是卻有一些限制,比如過于耗時和勞動強度大。
有機磷農藥(OPPs)如乙炔,殺螟松和二嗪農具有神經毒性,從制造,運輸和農業應用中釋放到環境中。由于其成本低,廣譜性強,廣泛用于農業用途。食品添加劑和污染物的研究加上高效液相色譜法進行痕量敵百蟲和在蔬菜久效磷殘基的同時測定的分子印跡固相萃取的。 當它們被人體吸收時,由于乙酰膽堿酯酶的失活,它們變得非常有毒。因此,開發能夠在環境中進行這些化合物的快速檢測的新型分析方法變得非常必要。

SEM顯微照片和纖維直徑分布:(a)PAN納米纖維,和(b)PAN衍生的活性炭纖維。
靜電紡絲和活性炭納米纖維的制備
聚合物溶液(8-16重量%)通過在50℃下通過磁力攪拌器將活性炭納米纖維粉末溶解在DMF中24小時來制備。這些聚合物溶液用于靜電紡絲。本實驗中使用靜電紡絲裝置。為了制備電紡納米纖維,將聚合物溶液置于具有18號(直徑= 0.12mm)針尖的5mL塑料注射器中作為靜電紡絲的噴嘴。注射泵將聚合物溶液供給針尖。金屬針連接到正高電壓,集電器(鋁箔)連接到地面。接地的收集器位于不同的距離(10-15厘米)。所有靜電紡絲實驗均在室溫下進行。
從收集器中拾取電紡活性炭納米纖維,并通過在空氣中以1℃/分鐘的速率從室溫加熱至280℃并在空氣流中保持4h來使其穩定。然后,將穩定化的納米纖維在管式高溫爐中以30℃/分鐘的速率在N 2氣氛中以800℃碳化1小時。所獲得的碳化碳納米纖維通過添加KOH而被活化,并且已經被置于N 2流動至850℃ 的爐中。活化產物用蒸餾水洗滌,過濾,然后在室溫下干燥。

響應曲面和等高線圖顯示了:(a)鹽和吸附劑的量,和(b)鹽的量和溶液的pH對乙烯回收率的影響。
提取程序
填充纖維固相萃取(PF-SPE)裝置是由5毫克活性炭納米纖維用精細鋼棒(直徑約0.5毫米)注入針頭的一個長方形。在預濃縮步驟之前,PF-SPE柱用200mL乙醇然后200mL水活化。然后,通過由氣密塑料注射器(5mL)強制的空氣壓力將水樣(1mL)裝載通過吸附劑,小心地以緩慢下降的方式控制流量。在分析物通過吸附劑洗脫之后,用100mL水洗滌柱子的內容物,并且通過1.0mL的甲醇使吸附的靶標解吸。最后,通過HPLC系統分析20mL洗脫溶劑。
實驗設計和優化
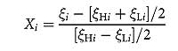
在這項研究中,RSM被用于實驗設計和優化。四個獨立的分析參數,吸附劑(毫克),溶液的pH值的量,則其效果流速(毫升分鐘- 1)和鹽的量(mg),在分析物使用基于CCD RSM已考慮的提取。對每個因子的至少三個水平(編碼為-1,0和+1)進行實驗以擬合二次模型。編碼值根據以下公式計算:

結構和性質
在本研究中,通過改變靜電紡絲參數來制備具有不同直徑的電紡納米纖維,以確定碳化工藝所需的改善結構和形態的最佳條件。發現在聚合物濃度為14.4wt%,頂端至集電極距離為12.5cm,施加電壓為15kV的條件下電紡PAN納米纖維具有合適的活性炭纖維生成結構和形貌。在表A1中提供了在不同的靜電紡絲條件下提供的另外的PAN納米纖維特征。圖1顯示了初生PAN和PAN衍生的活性炭纖維的SEM顯微照片和纖維直徑分布。可以看出,活性炭纖維具有光滑的表面形態和沿其長度的均勻直徑,這可以增強其吸收能力。考慮到平均纖維直徑(AFD),圖1顯示活性炭纖維比PAN納米纖維薄得多,這歸因于PAN納米纖維的收縮和碳化過程中引起的重量損失。
在這項研究中,活性炭納米纖維的形成電紡PAN納米纖維和它的適用性作為SPE的吸附劑在水樣中痕量OPPs。所得結果表現出良好的精度和線性動態范圍。該方法簡便,安全,簡便,可用于水樣中痕量乙胺磷,殺螟松和二嗪農的測定,結果令人滿意。此外,四個分析參數用于分析物的有效提取,包括吸附劑(毫克)的量,將樣品的pH值,流速(毫升分鐘的影響- 1)和鹽的量(mg),在分析物的萃取率為通過基于CCD技術的響應面模型定量確定。
溫馨提示:任何網站、媒體轉載本站原創文章則一定要寫明文章出處為:韓研活性炭網(m.ygmachine.cn),違者追究其法律責任。最終解釋權歸廣東韓研活性炭網所有,如有疑問請與我站編輯部的聯系,電話:020-39972520。
- [ 2023-01-29 ]活性炭吸附作用怎么來的
- [ 2023-01-22 ]怎么選擇木質粉狀活性炭廠家
- [ 2023-01-21 ]廢氣處理蜂窩活性炭怎么用
- [ 2023-01-20 ]木質柱狀活性炭有什么優勢
- [ 2023-01-19 ]制氮機用活性炭規格參數
- [ 2023-01-18 ]活性炭吸附次氯酸鈉
- [ 2023-01-17 ]去余氯活性炭的去除原理
- [ 2023-01-16 ]活性炭用于黃金回收-黃金炭
- [ 2023-01-15 ]活性炭復合泡沫材料
- [ 2018-12-18 ]活性炭負載氧化鐵對辛醇的氧化
主營:活性炭;椰殼活性炭;煤質活性炭;木質活性炭;果殼活性炭;蜂窩活性炭;活性炭纖維;凈水活性炭;水處理材料;空氣凈化材料.
FAQ熱門推薦
- 1、椰殼凈水活性炭哪家好?
- 2、椰殼凈水活性炭多少錢?
- 3、果殼活性炭多少錢?
- 4、購買凈水活性炭,找凈水活性炭…
- 5、果殼活性炭什么牌子好?
- 6、木質粉狀活性炭哪家好?
- 7、木質粉狀活性炭什么牌子好?
- 8、木質粉狀活性炭多少錢?
- 9、活性炭的作用幾小時生效?
- 10、蜂窩活性炭哪家好?



